2025年山西特岗教师的入围名单和最终录用结果,早已在当年通过官方渠道公布,这些名单不会在官方网站上长期保留,因此无法直接提供一个在线的、可搜索的完整名单链接。

(图片来源网络,侵删)
您可以通过以下几种方式来查询当年的信息,特别是针对个人是否入围的情况。
如何查询2025年山西特岗教师入围名单?
个人查询(最直接有效的方法)
如果您或您的亲友参加了2025年的山西特岗教师考试,最可靠的方式是:
- 查看个人电子档案或纸质档案:当年的特岗教师录取,其相关材料(包括笔试、面试、体检、政审等环节的记录)会存入您的个人人事档案中,如果您是当年的入围者,您的档案里会有相关的审批表或录用通知。
- 联系毕业院校就业指导中心:如果您是应届毕业生,您的学校就业指导中心通常会保留当年本校学生成功考取特岗教师的名单或相关记录,他们可以为您出具证明或查询相关信息。
- 咨询原报考地的教育局:如果您最终被录用并上岗了,您服务所在县(区)的教育局人事科会保留您的完整档案,您可以联系他们进行咨询。
网络信息查询(寻找历史快照和转载)
虽然官网已下架,但当年的新闻媒体、教育论坛或个人博客可能转载过部分名单,您可以尝试使用搜索引擎进行查找。
- 使用关键词搜索:
"2025年山西省特岗教师入围名单" site:gov.cn"2025年山西特岗教师面试入围名单""2025年山西特岗教师拟聘用名单公示"- 可以加上具体的地市名称,如“吕梁”、“晋中”等,进行更精确的搜索。
- 注意信息来源:搜索到的结果很可能是第三方网站的转载,请仔细辨别信息发布的时间(应为2025年7-8月)和来源的权威性,避免被不实信息误导。
- 寻找存档网站:您可以尝试访问一些互联网档案馆(如 Wayback Machine),输入当年山西省教育厅或人社厅的网址,查看2025年7月至8月期间的页面快照,或许能找到原始的公示公告。
2025年山西特岗教师重要信息回顾
为了让您更好地理解当年的情况,这里附上一些关键的官方信息摘要,这些信息可以帮助您确认自己记忆中的细节是否正确。

(图片来源网络,侵删)
招聘计划与岗位分布
- 招聘总人数:2025年,山西省计划招聘特岗教师 3970名。
- 服务范围:覆盖全省10个市、58个县(市、区)的农村义务教育阶段学校。
- 岗位学科:包括语文、数学、英语、物理、化学、生物、历史、地理、政治、音乐、体育、美术、信息技术等。
报名与考试时间线
- 网上报名:2025年6月12日 - 6月16日。
- 打印准考证:2025年6月28日 - 7月1日。
- 笔试时间:2025年7月2日。
- 公布笔试成绩:2025年7月20日左右。
- 资格复审与面试:2025年7月底至8月初,由各设岗县(市、区)组织。
- 拟录用名单公示:2025年8月中旬,这是“入围名单”最终确定并对外公示的关键时期,公示期通常为5个工作日。
录用流程与资格要求
当年的流程非常规范,主要包括:
- 网上报名与资格初审
- 全省统一笔试
- 资格复审(携带身份证、毕业证、教师资格证等原件)
- 面试(主要考察教学能力、综合素质等)
- 体检(按照《山西省申请教师资格人员体检标准及办法(2010年修订)》执行)
- 公示与签订协议:通过以上所有环节的考生,进入拟录用名单进行公示,公示无异议后,与设岗县签订《山西省“特岗计划”教师聘用合同书》。
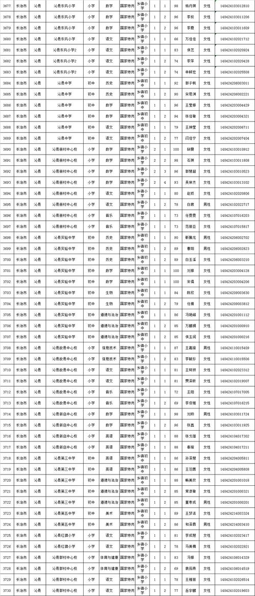
2025年山西特岗教师入围名单是2025年8月左右由各设岗县官方公示的,由于时间久远,官方平台已不再保留,直接获取完整名单比较困难。
如果您需要确认个人情况,强烈建议通过个人档案、毕业院校或当地教育局等官方渠道进行查询,这是最准确、最可靠的方式,希望这些信息能对您有所帮助!

(图片来源网络,侵删)
